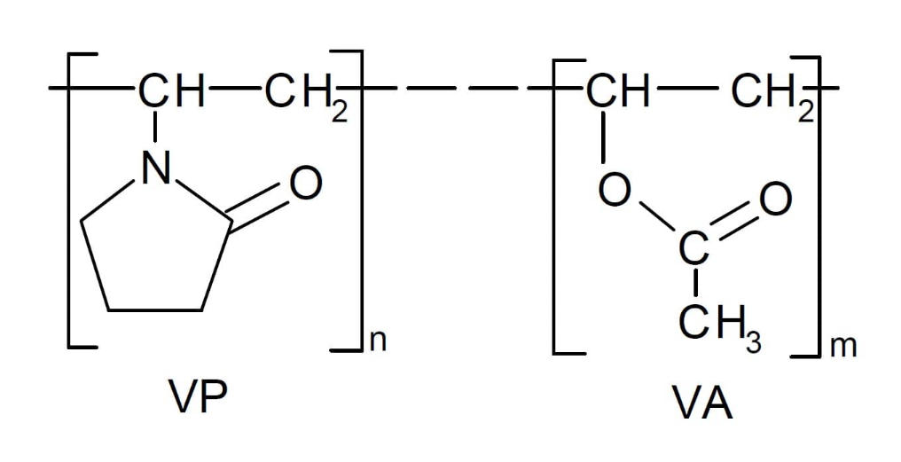
VP/VA Copolymers
VP/VA Copolymer is a Vinylpyrrolidone/vinyl acetate copolymer, a nonionic film-forming polymer for hair care applications.PVP VA Copolymer is a water-soluble polymer resin. It is an odorless, non-toxic, non-irritant white powder or transparent solution; soluble in water, alcohols, amines and other organic solvents; it has good adhesion, moisture absorption, film formation, and surface activity; the solutions formed copolymer by PVP VA in water range from clear to turbidite. The degree of turbidity depends on the ratio of vinylpyrrolidone to vinyl acetate, and the solution is slightly acidic but not electrolytic.
The solubility in water depends on the proportion of vinyl-pyrrolidone (increasing vinylpyrrolidone content makes it more hygroscopic); the solution is clear, almost colorless to slightly yellowish. VP/VA Copolymer is soluble in ethanol or isopropanol.
VP/VA Copolymer is used in hair care and styling products as a fixative and film-forming agent. It has exceptional properties both for aerosol sprays (hairsprays) and non-aerosol products like liquid setting lotions, gels, and mousses.

For the cosmetics made of PVP VA, such as hair spray and mousse, compared with those made of natural shellac, has the advantages of good luster, strong elasticity, easy combing, non-brittle, non-stick and comfortable after use.
Key Technical Parameters
Cosmetic Grade VP/VA Copolymers
| Product | PVP/VA 64 Powder | PVP/VA 64W | PVP/VA 73W |
| Appearance | White to creamy white,free-flowing powder | Transparent to slight yellowish liquid | |
| VP/VA | 60/40 | 60/40 | 70/30 |
| K Value | 27-35 | 27~35 | 27~35 |
| Monomers | 0.1% max. | 0.1% max. | 0.1% max. |
| Water | 5.0% max. | 48~52% | 48~51% |
| Solid Content | 95% max. | 48~51% | 48~52% |
| Sulphated Ash | 0.1% max. | 0.1% max. | 0.1% max. |
| pH Value(10% in water) | 4.0~7.0 | 4.0~7.0 | 4.0~7.0 |
Pharmaceutical Grade VP/VA Copolymer-Copovidone
| Appearance | White or yellowish-white powder or flakes,hygroscopic |
| Viscosity(Express as K Value) | 25.20~30.24 |
| Solubility | Freely soluble in water,in alcohol and in methylene chloride |
| Identifications | A.Infrared Absorption |
| B.A red colour appears | |
| C.A violet colour appears | |
| Peroxides(Expressed as H2O2) | 400 ppm max. |
| Hydrazine | 1 ppm max. |
| Monomers(VP+VA) | 0.1% max. |
| Impurity A(2-Pyrrolidone) | 0.5% max. |
| Heavy Metals(as Pb) | 20 ppm max. |
| Loss on Drying | 5.0% max. |
| Sulphated Ash | 0.1% max. |
| Ethenyl Acetate Content | 35.3~42.0% max. |
| Nitrogen Content | 7.0~8.0 % |
Technical Grade VP/VA Copolymers
| Product | PVP/VA 64 Powder | PVP/VA 64W | PVP/VA 73W |
| Appearance | White to creamy white,free-flowing powder | Transparent to slight yellowish liquid | |
| VP/VA | 60/40 | 60/40 | 70/30 |
| K Value | 27-35 | 27~35 | 27~35 |
| Monomers | 0.2% max. | 0.2% max. | 0.2% max. |
| Water | 5.0% max. | 48~52% | 48~51% |
| Solid Content | 95% max. | 48~51% | 48~52% |
| Sulphated Ash | 0.1% max. | 0.1% max. | 0.1% max. |
| pH Value(10% in water) | 4.0~7.0 | 4.0~7.0 | 4.0~7.0 |
Within the pharmaceutical industry, this polymer serves as a binder in tablets and creates protective, easy-to-swallow coatings for pills. It is also used in controlled-release drug delivery systems to manage how quickly medication is absorbed.
Beyond these fields, VP/VA Copolymer finds application in industrial adhesives, creating removable glues, and as a binding agent in coatings and inks, showcasing its remarkable versatility.
Applications
● Film formers
● Personal Care Products
● Hair care products
● Pharmaceutical industry
Advantages
● Good stabilization
● Good compatibility
● Good solubility
● Biological compatibility
description2




